周期方波信号频谱图
在学习傅里叶变换的时候遇到了求周期方波信号频谱图的例子,在书上和网上查阅了一些资料,发现大都是讨论的都是下图左边的周期信号的频谱,课程老师的PPT中也只列出了另一种周期信号频谱图的结论,没有在进行傅里叶变换,自己便根据定义推导了一遍,贴在这里作记录和分享之用。
需要PDF文档请点击链接:http://pan.baidu.com/s/1hssiuqg 密码:c3s7
关于傅立叶级数展开的另一讨论在我的另一篇博客
http://blog.csdn.net/ouening/article/details/70339341
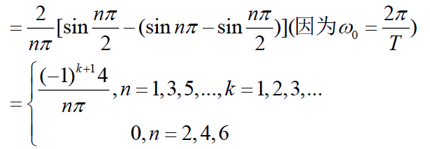
2016年11月21号更新
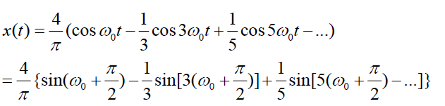
在第二个周期方波信号的傅里叶变换里,注意是
转换为sin函数下为
之前写错了,今天更正。
对于这两种方波信号,我们也可以编程验证一下,就是用正弦函数去逼近方波信号,Python的实现代码如下:
# 分析傅里叶级数分解之后cos和sin的和项的图像输出
from numpy import mgrid,sin,cos,array,pi
from matplotlib.pyplot import plot,show,title,legend,xlabel,ylabel
x = mgrid[0:10:0.02] # 这里类似于MATLAB用冒号产生步长为0.02的序列,但是语法和MATLAB不同
# 下面的这段循环实现y=sin(x)+sin(3x)+...+sin(19x)
def cos_square():
y1 = 0;
for i in range(0,20,1):
b = (-1)**(i)*cos((2*i+1)*x)/(2*i+1)
y1=b+y1 # 这种求和的方法是从C语言移植过来的
plot(x,y1,"orange",linewidth=0.6)
title("cos_square")
xlabel("Time")
ylabel("Amplitude")
show()
def sin_square():
y2 = 0
for i in range(0,20,1):
b = sin((2*i+1)*x)/(2*i+1)
y2=b+y2 # 这种求和的方法是从C语言移植过来的
plot(x,y2,"g",linewidth=0.6)
title("sin_square")
xlabel("Time")
ylabel("Amplitude")
show()
cos_square()
sin_square()
输出结果如下:
由结果可以看两种不同的方波级数展开是正确的
声明:该文观点仅代表作者本人,牛骨文系教育信息发布平台,牛骨文仅提供信息存储空间服务。
- 上一篇: Matlab画时域和频谱图
- 下一篇: vue组件化挖矿之旅(三):vue-cli 自定义过滤器的使用
