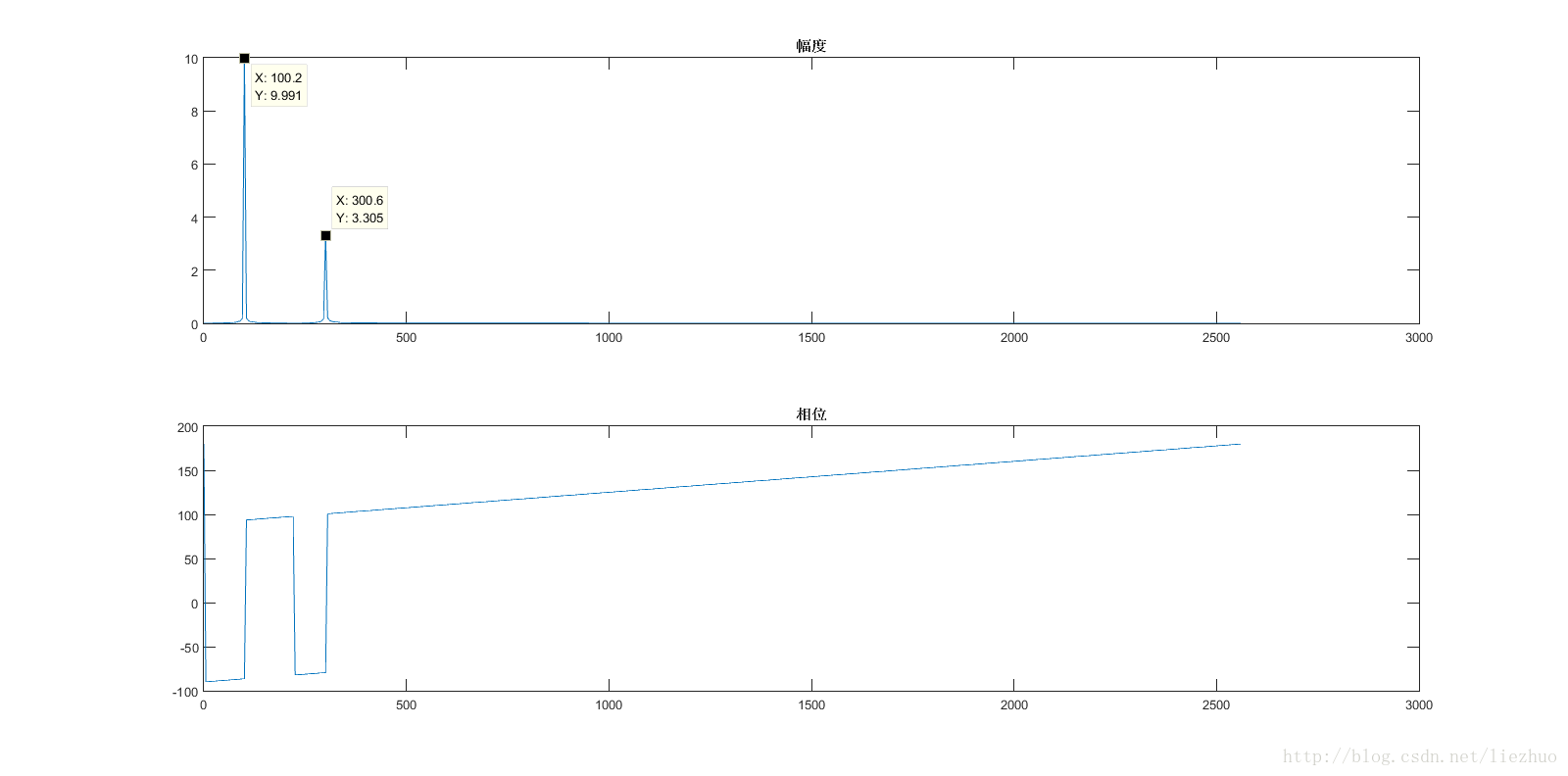
信号傅立叶变换后实际频谱图(Matlab)
注意区分的概念
- 信号时间域:连续信号、离散信号、周期信号、非周期信号
- 周期的区别:信号时域周期、信号时域采样周期、信号频域采样周期
- 傅立叶级数、傅立叶变换
三种类型数字信号频谱示意图
频谱示意图绘制注意问题
- 不显示负频率部分
- X坐标换为频率
- 幅值量纲还原
详细代码与解释
Fs=5120;%时域采样频率
N=1024;%采样点数
dt=1.0/Fs;%时域采样时间间隔(采样周期)
T=dt*N;%采样总时长
t=linspace(0,T,N);%时间点
x=10*sin(2*pi*100*t)+10/3*sin(2*pi*300*t);
y=fft(x,N);
f=linspace(0,Fs/2,N/2);
A1=abs(y)/(N/2);
Q1=angle(y)*180/pi;%角度
figure;
subplot(2,1,1);
plot(A1);
plot(f,A1(1:N/2));
title("幅度")
subplot(2,1,2);
plot(f,Q1(1:N/2));
xlabel("角度");
title("相位")
对数功率谱可以将大的频谱分量压缩小的不易看见的放大,分贝:dB=20log(P)
声明:该文观点仅代表作者本人,牛骨文系教育信息发布平台,牛骨文仅提供信息存储空间服务。
