Unity3d 游戏中的实时降噪-对Square Enix文档的研究与实现
看到SE的技术文档关于降噪的决定研究一下,
本次试验场景:

文章中提到了3中主要滤波方法,最后一种方法又有三种方式
分别为Conventional geometry-aware filtering,Distribution-Aware Filtering,Specular Lobe-Aware Filtering and Upsampling
根据公式做了一些,自己弄得除噪方法不知道是否正确,虽然有效果= =;
博主的步骤:
1. 找出噪波(包括噪波与贴图上的细节)
2. 算出specular,diffuse的干扰
3. 此处方法众多:a.用别的像素代替噪波b.周围采样求平均值(会造成模糊)。。。。
基于最基本的高斯滤波,
此方法需要计算深度depth和normal,可通过获取_CameraDepthTexture和_CameraNormalsTexture获取,详细请点
W相当于对过滤正确性的判断,因为物体的边缘可能被当做噪波误判,产生边缘粗糙或者模糊
W权重公式

Si是像素i中屏幕空间点的位置
G为高斯函数

边缘清晰可见,因为是通过depth和normal判断的,所以没有噪波,也包括了diffuse等的细节,通过w我们可以减少对边缘的降噪
然后采样对灰度进行比较,如果当前点与采样点相差过多则为噪波,采样点数越多越准确,但是也有限度
结果如下(图片可点击放大查看)


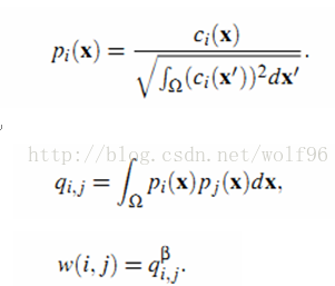
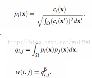
t2为自定义参数
Ci为光滑分布
b函数为任意smoothing kernel
比如:
高斯滤波Gaussian filtering
各向异性滤波anisotropic filtering
总变分最小化Total Variation minimization
相邻滤波neighborhood filtering
NL-means algorithm
等等
这里博主使用高斯滤波

W结果如下

上图的结果没有开noise,但是这种方法的w是包含噪波的,所以不能用w来判断cut off,
此处的w是其第一种作用,也就是判断噪波,但是这种方法的输入参数β,可以调节对高光部分和阴影部分的过滤程度(可以看到在图中参数下specular处是全黑的,此时高光处时不会过滤的,采样点之间的差别为0),所以这种方法不需要cut off
SE文档中实现结果

对过滤的正确性判断加强,加上对高光的判断,免去对高光高亮处边缘的误判

W的结果如下

加入了对高光与暗部细节部分的判断,使得高光部分降噪效果良好

三种方法中效果最好的方法
结果如下

本次试验场景:
文章中提到了3中主要滤波方法,最后一种方法又有三种方式
分别为Conventional geometry-aware filtering,Distribution-Aware Filtering,Specular Lobe-Aware Filtering and Upsampling
根据公式做了一些,自己弄得除噪方法不知道是否正确,虽然有效果= =;
博主的步骤:
1. 找出噪波(包括噪波与贴图上的细节)
2. 算出specular,diffuse的干扰
3. 此处方法众多:a.用别的像素代替噪波b.周围采样求平均值(会造成模糊)。。。。
基于最基本的高斯滤波,
此方法需要计算深度depth和normal,可通过获取_CameraDepthTexture和_CameraNormalsTexture获取,详细请点
W相当于对过滤正确性的判断,因为物体的边缘可能被当做噪波误判,产生边缘粗糙或者模糊
W权重公式
float wk = Gaussian(GetDepth(i_) - GetDepth(j), _Sigma_z);
Si是像素i中屏幕空间点的位置
G为高斯函数
inline float Gaussian(float x, float y)
{
return _A * exp(-(((pow((x - _X0), 2)) / (2 * _Sigma_x *_Sigma_x)) +
((pow((y - _Y0), 2)) / (2 * _Sigma_y *_Sigma_y))));
}边缘清晰可见,因为是通过depth和normal判断的,所以没有噪波,也包括了diffuse等的细节,通过w我们可以减少对边缘的降噪
然后采样对灰度进行比较,如果当前点与采样点相差过多则为噪波,采样点数越多越准确,但是也有限度
通过上图可明显发现w起的作用
结果如下(图片可点击放大查看)
放大结果
t2为自定义参数
Ci为光滑分布
b函数为任意smoothing kernel
比如:
高斯滤波Gaussian filtering
各向异性滤波anisotropic filtering
总变分最小化Total Variation minimization
相邻滤波neighborhood filtering
NL-means algorithm
等等
这里博主使用高斯滤波
W结果如下
上图的结果没有开noise,但是这种方法的w是包含噪波的,所以不能用w来判断cut off,
此处的w是其第一种作用,也就是判断噪波,但是这种方法的输入参数β,可以调节对高光部分和阴影部分的过滤程度(可以看到在图中参数下specular处是全黑的,此时高光处时不会过滤的,采样点之间的差别为0),所以这种方法不需要cut off
结果如下
SE文档中实现结果
对过滤的正确性判断加强,加上对高光的判断,免去对高光高亮处边缘的误判
float ai = v * max(dot(N, lightDir), 0);
W的结果如下
加入了对高光与暗部细节部分的判断,使得高光部分降噪效果良好
三种方法中效果最好的方法
结果如下
代码已上传至github
------ by wolf96 http://blog.csdn.net/wolf96
声明:该文观点仅代表作者本人,牛骨文系教育信息发布平台,牛骨文仅提供信息存储空间服务。
